[ad_1] Research the total compensation plan for the company you have chosen for your final project. Very briefly describe the elements they use to reward their employees (base pay, bonuses, time off, daycare, flex time, benefits, etc). Is their approach
Materials Management
[ad_1] Worldwide Can-Openers, Inc., makes a family of two hand-operated can openers. The production plan is based on months. There are 4 weeks in this month. Opening inventory is 2000 dozen, and it is planned to increase that to 4000
Child neglect
[ad_1] For this discussion board, find a news article about a child neglect ARREST that occurred within the last year. Give a synopsis, then identify the 4 critical steps for the investigation, according to this textbook. The article may or
UNIT 5 RESPONSES
[ad_1] In response to your peers, identify the barriers that may be contributing to the identified problems and suggest strategies to alleviate the barriers. 1.For my first problem in living that I chose was poverty. I chose this because it
business ethics
[ad_1] The Board of Directors and CEO are concerned that Acme lacks any best practices for IT and technical ethics standards. Research how ethics differ between companies and cultures or region, then brief the CEO and Board about standards and
Discussion Reply Taylor series

[ad_1] It is no secret that robots have become a common staple of the factory floor. With the ability to attach nearly unlimited custom grippers, and collaborative robots that don’t require safety guarding, robots are finding their way into more and
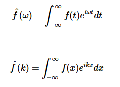
Discussion Reply Fourier Transform (Fourier series):

[ad_1] The Fourier series is used to express a periodic signal as a combination of sinusoidal waves, meaning that we have a resultant signal that is made up of a combination of those sine waves. The Fourier transform is
Study plan
[ad_1] STUDY PLAN ASSIGNMENT ORDER To Prepare: Reflect on your prior coursework. Identify content-area strengths and opportunities for improvement. The Assignment: Summarize your strengths and opportunities for improvement. Create a study plan, including specific goals and the tasks you need
individual case study
[ad_1] 1. Apply the five steps of the Planning Process to Uber’s development of it’s app-driven online cab service. 2. Outline the Strategic, Tactical and Functional plans Uber has concerning its new self-driving car program. Show at least one
PP
[ad_1] The purpose of this assignment is to present and defend your investment recommendations based on a client’s scenario. For this assignment, you will develop a PowerPoint presentation Your presentation should contain 10-15 slides. Your presentation should guide the client